D - Distance Construction Editorial
by
hos_lyric
(より詳しい解説は後日ブログで公開します)
\(M\) が \(2\) 冪のとき解は存在しません.証明:すべての辺の重みを割り切る最大の \(2\) 冪を \(2^e\) とします.\(n \ge 2\) かつ \(1 \le c_i < M\) なので \(2^e < M\) で,\(M\) は \(2\) 冪なので \(2^{e+1} | M\) です.頂点 \(1\) からの距離が \(2^{e+1}\) の倍数かどうかで頂点を黒白で塗ると,\(2^e\) の奇数倍の重みの辺が存在するので,黒頂点も白頂点も存在します.すると,頂点 \(1, \ldots, n\) を順に辿るとどこかで色が変わりますが,黒頂点と白頂点の距離は \(2^{e+1}\) の倍数ではないので,条件を満たしません.
\(M\) が \(2\) 冪でないときは解が存在します.\(M > 1\) が奇数のときが解ければあとは全体定数倍すればよいです.以下,具体例で説明します.辺の重みは \({} \bmod M\) で書きます.
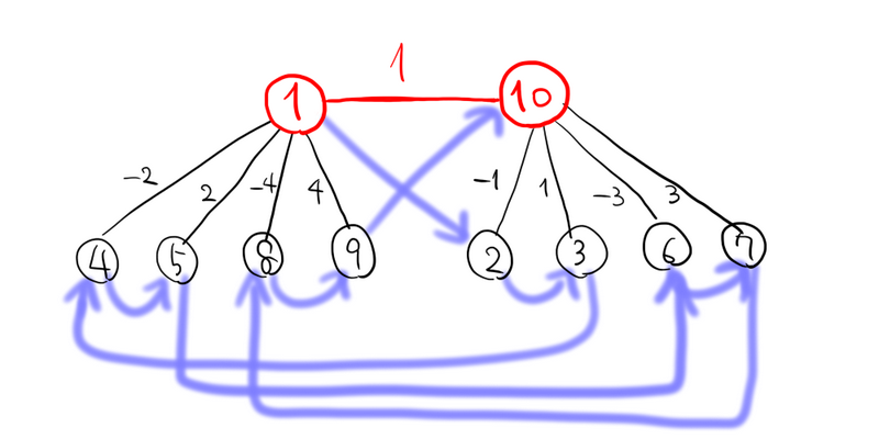
下図 (\(M = 5\) の例) のようにすると \(2M\) 頂点でできます.まず頂点 \(1, n\) を結ぶ重み \(1\) の辺を用意して,葉を付けていきます.まず頂点 \(n\) に重み \(-1\) で葉を付けられます.その後以下の \(2\) 種類の操作ができます:
- 今いる側に葉を付ける.重みは \(x \mapsto -x\) になる.
- 反対側に葉を付ける.重みは \(x \mapsto -(x+1)\) になる.
これらを繰り返すと頂点 \(1\) に重み \(M-1\) で葉を付けられるので完成です.

下図 (\(M = 23\) の例) のようにすると約 \(4 \log_2(M)\) 頂点以下でできます.赤い部分は頂点 \(1, n, 3\) から左右に広がっていくパスで,\(M\) の立っているビットが左側に,立っていないビットが右側に配置されます.パスの端にいるとき,以下の \(2\) 種類の操作ができます:
- \(2\) 頂点使って,パスを反対側に伸ばす.
- \(4\) 頂点使って,パスをいまいる側に伸ばす.図の青色で書かれた部分.
これらを適切な順序で組み合わせて,最後にパスの左端から頂点 \(n\) に移動したとき合計 \(M\) になるようにできます.

posted:
last update: